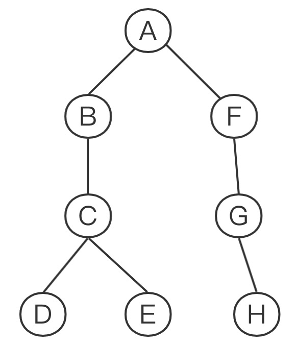
python二叉�遍历 Template




You need a modern browser try chrome, to view this.

Background image: Hide Show

View Larger Image Image Credit: wulaoer.org






Try and sketch some of theseSnorkel, Bubbles, Parents, Casket, Sunhat, Loafers, Cliff, Panties, Chest, Harpsichord, view more ideas


please wait, the page is loading...

More Sketches

Take a peek at some of the sketches created by our users, are you a sketchite?

Ariel Fernando
sketch #1061 garota ao vento


anonymous
anonymous
sketch #2082 mash


anonymous
anonymous
sketch #68512


anonymous
anonymous
sketch #3365 Igor by Johan Kennet Espinoza Moreno


Sarah Nila
sketch #3483 Ginger


anonymous
anonymous
sketch #2560


anonymous
anonymous
sketch #687 Buddha Peace


anonymous
anonymous
sketch #5230


Cristina Love
sketch #2788 Yuno Gasai from Mirai Nikki by Cristina Love


anonymous
anonymous
sketch #5213


anonymous
anonymous
sketch #5084 Harry Potter by Enrique L. Manly


anonymous
anonymous
sketch #5177


anonymous
anonymous
sketch #3359 &#;In love and lonely&#; by Irul Ventura


anonymous
anonymous
sketch #5281


anonymous
anonymous
sketch #5279


anonymous
anonymous
sketch #3166 Axl Rose by Jessie Lightwood


anonymous
anonymous
sketch #4582 Pikachu by Mariana Sanchez Acevedo


anonymous
anonymous
sketch #5156 Angry Bird by Roberto Castro Colimil


anonymous
anonymous
sketch #3254 derp


Ainhoa White
sketch #4301


anonymous
anonymous
sketch #5088


anonymous
anonymous
sketch #3539 Octo by Aristo A. Kadir


anonymous
anonymous
sketch #5312


anonymous
anonymous
sketch #3683 Hellboy by Loai Issa


anonymous
anonymous
sketch #4349 Cícero Николай Герасимов


anonymous
anonymous
sketch #4589


anonymous
anonymous
sketch #1183


anonymous
anonymous
sketch #1474

tomskipython二叉�遍历 coloring