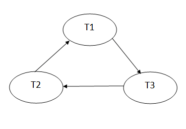
dbms可串行性测试 dbms srcmini Template




You need a modern browser try chrome, to view this.

Background image: Hide Show

View Larger Image Image Credit: srcmini05.com






Try and sketch some of theseJeweler, Beer, Barometer, Daisy, Cowboy, Steam engine, Surrey, Lawn, Gravy, Patio, view more ideas


please wait, the page is loading...

More Sketches

Take a peek at some of the sketches created by our users, are you a sketchite?

anonymous
anonymous
sketch #5044


anonymous
anonymous
sketch #4769 Finn and Jake by Neo Ʀazor


anonymous
anonymous
sketch #1950


anonymous
anonymous
sketch #5157


anonymous
anonymous
sketch #2965 Flapjack by Farzin Hedayatzadeh


anonymous
anonymous
sketch #3247 Thor by Juvenilia Alexandrino


anonymous
anonymous
sketch #2559 sun


ShopRasta Roots
sketch #2787 Spongebob by ShopRasta Roots


anonymous
anonymous
sketch #5281


anonymous
anonymous
sketch #1185


anonymous
anonymous
sketch #2977 Spongebob Germaine Hoens


anonymous
anonymous
sketch #4232 Tobirama by Kadi Kader


anonymous
anonymous
sketch #4867 Johnny Depp Ronin Ronin


anonymous
anonymous
sketch #4279 Winnie the Pooh by Douglas Dalmora


anonymous
anonymous
sketch #1041 strawberries


anonymous
anonymous
sketch #5264


anonymous
anonymous
sketch #4975 Orange by Marcos Roberto Molina


anonymous
anonymous
sketch #5213


anonymous
anonymous
sketch #1034 what ever you want it to be


anonymous
anonymous
sketch #474 waa


anonymous
anonymous
sketch #5037 Dolphin by Meen Suksoi


anonymous
anonymous
sketch #4755


anonymous
anonymous
sketch #5268 Harley Quinn by 조바다


anonymous
anonymous
sketch #5113 Growlithe and Arcanine by Kervinzitho del Piero


anonymous
anonymous
sketch #4446 EDDIE by يآآسر محمد


anonymous
anonymous
sketch #4151


Donara Smbatyan
sketch #1455 donara


anonymous
anonymous
sketch #3039 Anonymous by Gootee Jaroonsit

tomskidbms可串行性测试 dbms srcmini coloring