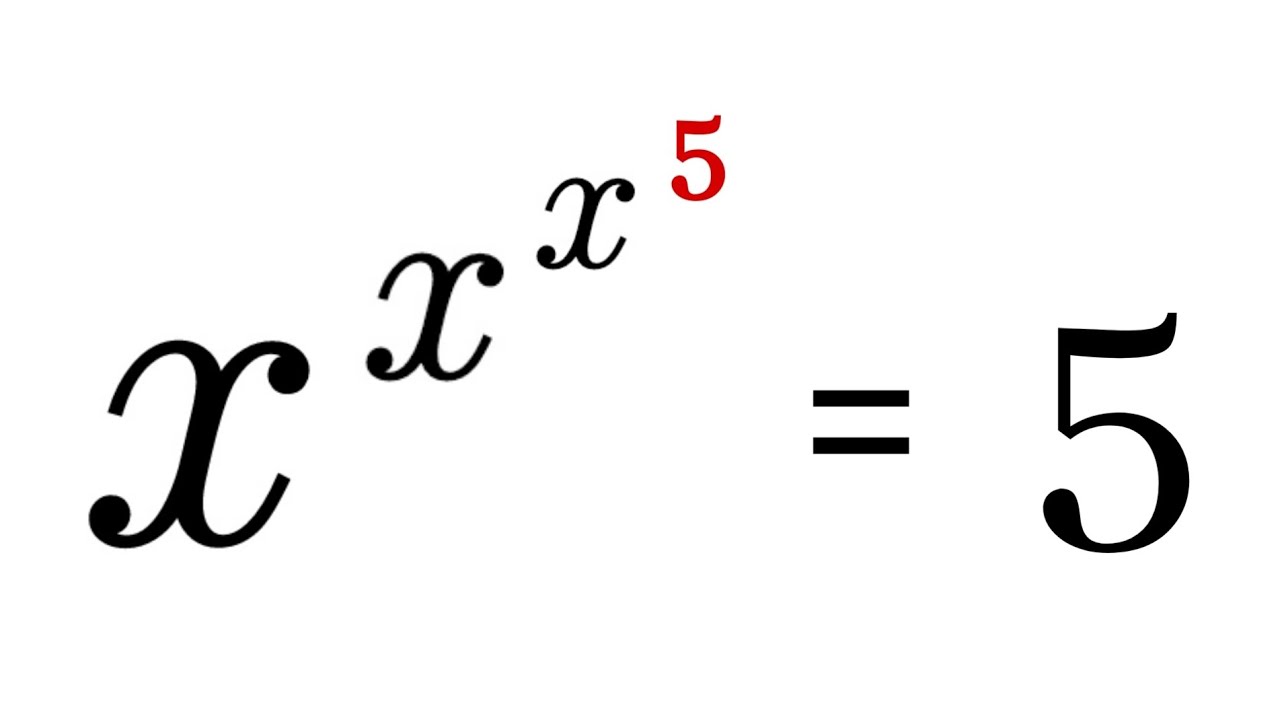
解方程竞赛真题,很多同学得0分,到底怎么回事 youtube Template




You need a modern browser try chrome, to view this.

Background image: Hide Show

View Larger Image Image Credit: youtube.com






Try and sketch some of theseHair dryer, Campers, Coffin, Snowplow, Bat, Miniature horse, Snowboard, Claim, Sock hop, Stake, view more ideas


please wait, the page is loading...

More Sketches

Take a peek at some of the sketches created by our users, are you a sketchite?

Nassim Nouri
sketch #2765 Kratos by Nassim Nouri


anonymous
anonymous
sketch #5348


anonymous
anonymous
sketch #4868 Pokemons! by Ammed Hjb


Rachel Roe
sketch #2643 Spring chick


anonymous
anonymous
sketch #4012 Owl sketch


anonymous
anonymous
sketch #5050


anonymous
anonymous
sketch #4349 Cícero Николай Герасимов


anonymous
anonymous
sketch #4313


anonymous
anonymous
sketch #4900 Moonlight by Abdelwahab Haik


anonymous
anonymous
sketch #5077 Light of Hope by Itz Rakhi


Donara Smbatyan
sketch #1447 donara


anonymous
anonymous
sketch #3300


sketchmaster
sketch #2483 Una Catrina by sketchmaster


anonymous
anonymous
sketch #5215


sketchmaster
sketch #2618


anonymous
anonymous
sketch #5203 Alien vs. Predator Ani Chachua


anonymous
anonymous
sketch #5039


anonymous
anonymous
sketch #4965


anonymous
anonymous
sketch #4829


anonymous
anonymous
sketch #5249 Adele - Skyfall by Mert Arda Yiğit


anonymous
anonymous
sketch #4601 PSY Gentleman by Luis Daniel Sanchez Ramirez


anonymous
anonymous
sketch #1993


sketchmaster
sketch #2452 Manga by sketchmaster


Tom Kelly
sketch #666


anonymous
anonymous
sketch #5084 Harry Potter by Enrique L. Manly


anonymous
anonymous
sketch #953


anonymous
anonymous
sketch #5009 Elen Jager from Attack on Titan


anonymous
anonymous
sketch #5256


anonymous
anonymous
sketch #3273


anonymous
anonymous
sketch #5197 Rihanna by Ben Hall

tomski解方程竞赛真题,很多同学得0分,到底怎么回事 youtube coloring