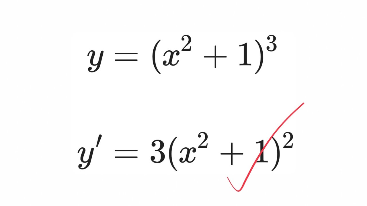
偏微分第04回合成関数の偏微分�公式と例 youtube Template




You need a modern browser try chrome, to view this.

Background image: Hide Show

View Larger Image Image Credit: youtube.com






Try and sketch some of theseMartini, Hutch, Puppeteer, Spats, Shipwreck, Snowplow, Bed, Minaret, Bison, Kiwi, view more ideas


please wait, the page is loading...

More Sketches

Take a peek at some of the sketches created by our users, are you a sketchite?

anonymous
anonymous
sketch #5040 Amy Winehouse by Timothy Palfreyman


anonymous
anonymous
sketch #5415


Ainhoa White
sketch #4301


anonymous
anonymous
sketch #4953 Bird by Ervin Haxhija


anonymous
anonymous
sketch #4012 Owl sketch


anonymous
anonymous
sketch #1060


anonymous
anonymous
sketch #5434


Loai Issa
sketch #2668 Butterfly by Loai Issa


Laura Agapi Asnicar
sketch #2976 A girl watches the moon


anonymous
anonymous
sketch #3698


anonymous
anonymous
sketch #4867 Johnny Depp Ronin Ronin


anonymous
anonymous
sketch #5083


anonymous
anonymous
sketch #5210 I love you by Saul Mansanares


anonymous
anonymous
sketch #5088


anonymous
anonymous
sketch #5277 League of Legends champions by Sylvie Rieux


anonymous
anonymous
sketch #3047 Oppa Pika Style by Itz Rakhi


Donara Smbatyan
sketch #1452 donara


anonymous
anonymous
sketch #2144


anonymous
anonymous
sketch #5068


anonymous
anonymous
sketch #5265 Shir Erika Ishikawa


anonymous
anonymous
sketch #5197 Rihanna by Ben Hall


anonymous
anonymous
sketch #5176


anonymous
anonymous
sketch #5135 &#;Hypno Colorfull&#; by Lars Tunebo


anonymous
anonymous
sketch #5137 Happy Halloween! by Guillaume Ballieu


anonymous
anonymous
sketch #5264


anonymous
anonymous
sketch #1287 No smoke


anonymous
anonymous
sketch #5281


anonymous
anonymous
sketch #5205

tomski偏微分第04回合成関数の偏微分�公式と例 youtube coloring