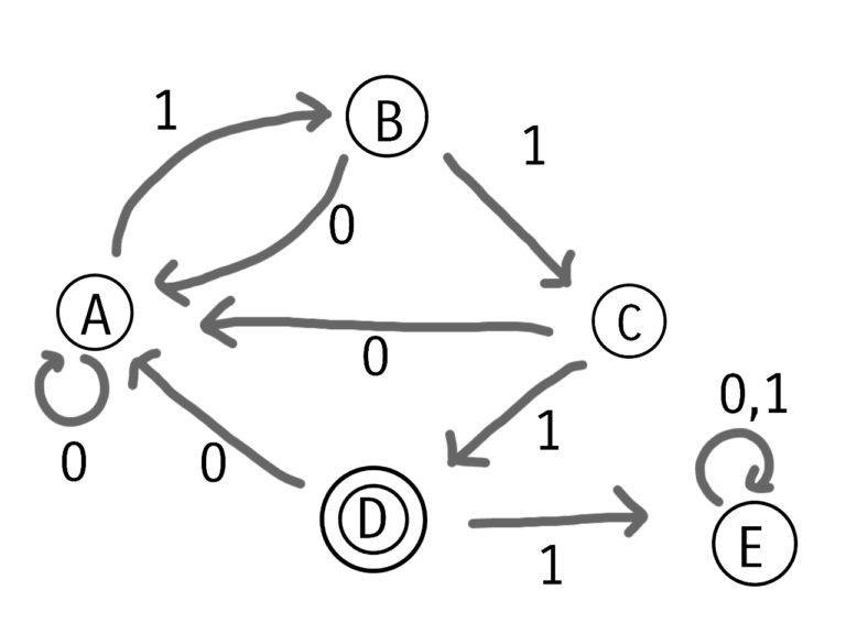
【python�簡単に状態遷移図を作成することができる!automata Libの使い方について マスジョイ Template




You need a modern browser try chrome, to view this.

Background image: Hide Show

View Larger Image Image Credit: math-joy-life.com






Try and sketch some of theseCabin, Lizard, Supermodel, River, Tunnel, Mandolin, Store, Stork, Junkie, Stilts, view more ideas


please wait, the page is loading...

More Sketches

Take a peek at some of the sketches created by our users, are you a sketchite?

anonymous
anonymous
sketch #4665 Iron Maiden EDDIE by Jenna Khoùlix�


anonymous
anonymous
sketch #5211


anonymous
anonymous
sketch #3567 Worried Girl by Juvenilia Alexandrino


anonymous
anonymous
sketch #4835 L from Death Note by Adidtzu Ady


anonymous
anonymous
sketch #5184 Walter White by Abdul Ghony


anonymous
anonymous
sketch #2888 Jimi Hendrix by Meen Suksoi


anonymous
anonymous
sketch #5159 Frank Briones Silvia Haynes


anonymous
anonymous
sketch #5263


anonymous
anonymous
sketch #4724 Turtwig by Mark Robson


anonymous
anonymous
sketch #2560


anonymous
anonymous
sketch #4436 Bob Marley by Luiza Irma


anonymous
anonymous
sketch #953


anonymous
anonymous
sketch #3222 Late happy valentine&#;s from Tiffa Hidalgo Jordan Coquet


anonymous
anonymous
sketch #3506 Goku by Saul Mansanares


Alexander Volodimirovich Danilchenko
sketch #2777 Ralph & Vanellope by Alexander Volodimirovich Danilchenko


anonymous
anonymous
sketch #3476 Happy valentines day! Simona Honigmelone


anonymous
anonymous
sketch #3459 BLUE from fosters imagenary friends


anonymous
anonymous
sketch #3742 Homer by Koes Maung


anonymous
anonymous
sketch #4273


anonymous
anonymous
sketch #5191 The View by Vicente Vera


anonymous
anonymous
sketch #5044


anonymous
anonymous
sketch #5002 Jimi Hendrix by Piter Olimpo


anonymous
anonymous
sketch #3155 Iron Man


anonymous
anonymous
sketch #20594


anonymous
anonymous
sketch #2922


anonymous
anonymous
sketch #3064


Donara Smbatyan
sketch #1447 donara


Chelley
sketch #3429 Another try of Miku xD


anonymous
anonymous
sketch #5086 Lion by Z Ionut Ady


anonymous
anonymous
sketch #4901 Adventure Time by Louisette Alain

tomski【python�簡単に状態遷移図を作成することができる!automata libの使い方について マスジョイ coloring