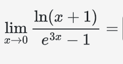
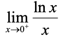
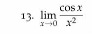
Limits limx→0 Tanx3x limx→0⁡ Sin⁡xsin4x 1 Cos2x Template




You need a modern browser try chrome, to view this.

Background image: Hide Show

View Larger Image Image Credit: youtube.com






Try and sketch some of theseLamb, Beehive, Salad, Beard, Pirate, Lizard, Caterpillar, Poet, Squirrel, Jazz band, view more ideas


please wait, the page is loading...

More Sketches

Take a peek at some of the sketches created by our users, are you a sketchite?

anonymous
anonymous
sketch #1418 Dylan Thomas. Chayrolfrypan


anonymous
anonymous
sketch #2117


anonymous
anonymous
sketch #4979 Luffy


anonymous
anonymous
sketch #4918 Mike Wazowsky by George Andres Crowther Castillo


anonymous
anonymous
sketch #1041 strawberries


anonymous
anonymous
sketch #5116 Bleach by Vrushali Rane


anonymous
anonymous
sketch #4087 Stewie by Leon Soria Ricardo


sketchmaster
sketch #2636 Robitina by sketchmaster


anonymous
anonymous
sketch #2554


anonymous
anonymous
sketch #2477 hhhh


anonymous
anonymous
sketch #5054 Angelina Jolie by Hailey So Pretty


anonymous
anonymous
sketch #3344 Homer by Samuel Roberto


anonymous
anonymous
sketch #2453 Koi Fish


anonymous
anonymous
sketch #4895 Cat by Gaurav Patel


anonymous
anonymous
sketch #2884 Robot Shimun Yeyo Ahmed


anonymous
anonymous
sketch #5119


anonymous
anonymous
sketch #5055


sketchmaster
sketch #2476 Asuna from SAO by sketchmaster


anonymous
anonymous
sketch #5312


anonymous
anonymous
sketch #4221 Moi.


anonymous
anonymous
sketch #2904 Pinky and the Brain by Tim Poole


anonymous
anonymous
sketch #5156 Angry Bird by Roberto Castro Colimil


anonymous
anonymous
sketch #2866 Soul Eater by Ani Chachua


anonymous
anonymous
sketch #1732


anonymous
anonymous
sketch #1183

tomskilimits limx→0 tanx3x coloring