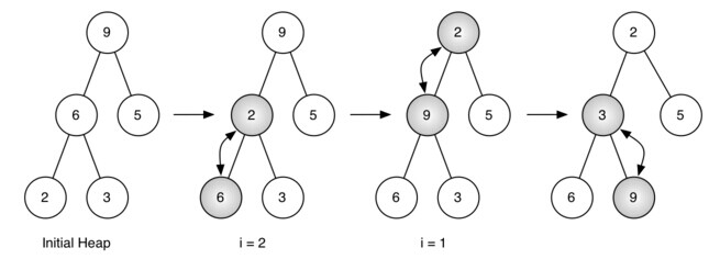
python�结构python堆结构堆队列队列 Template




You need a modern browser try chrome, to view this.

Background image: Hide Show

View Larger Image Image Credit: wulaoer.org






Try and sketch some of theseDynamite, Goldfish, Silverfish, Beehive, Cherry picker, Amusement park, Tarp, Rocking horse, Monkey, Comet, view more ideas


please wait, the page is loading...

More Sketches

Take a peek at some of the sketches created by our users, are you a sketchite?

anonymous
anonymous
sketch #1082 Seher 6 years


anonymous
anonymous
sketch #5071 Rihanna by Johan Kennet Espinoza Moreno


anonymous
anonymous
sketch #5265 Shir Erika Ishikawa


anonymous
anonymous
sketch #1643


Tom Kelly
sketch #15


anonymous
anonymous
sketch #1669


anonymous
anonymous
sketch #4370 Breaking Bad


anonymous
anonymous
sketch #5199 Catface by Noeli Racioppo


anonymous
anonymous
sketch #2453 Koi Fish


anonymous
anonymous
sketch #4829


Lucy Barnard
sketch #245 Fishy


anonymous
anonymous
sketch #2856 Merry Christmas from Melany Campano Laos Komlós László


anonymous
anonymous
sketch #5216 D by Gabriela Segura


sketchmaster
sketch #2628 Black haired women


anonymous
anonymous
sketch #4279 Winnie the Pooh by Douglas Dalmora


anonymous
anonymous
sketch #20840 Dog by Laur Ūūtiis


anonymous
anonymous
sketch #288 RK


anonymous
anonymous
sketch #5168


anonymous
anonymous
sketch #3707 The Thinker


Rachel Roe
sketch #78 Dino-Roar


anonymous
anonymous
sketch #1927


anonymous
anonymous
sketch #5061


anonymous
anonymous
sketch #3350 Gerard Way by Carrieann Benthem


anonymous
anonymous
sketch #5210 I love you by Saul Mansanares


anonymous
anonymous
sketch #5279


anonymous
anonymous
sketch #5039


anonymous
anonymous
sketch #1451 mi6softlab vibra


anonymous
anonymous
sketch #5135 &#;Hypno Colorfull&#; by Lars Tunebo


anonymous
anonymous
sketch #4480 ZOMBIE by Rubel Parvez

tomskipython�结构python堆结构堆队列队列 coloring