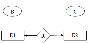
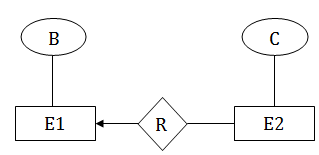
dbms映射约束 dbms srcmini Template




You need a modern browser try chrome, to view this.

Background image: Hide Show

View Larger Image Image Credit: srcmini05.com






Try and sketch some of theseTiger, Jamboree, Lei, Circus, Prairie Dog, Monkey, Dice, Bell, Cheeseburger, Trowel, view more ideas


please wait, the page is loading...

More Sketches

Take a peek at some of the sketches created by our users, are you a sketchite?

anonymous
anonymous
sketch #5158 Till Lindemann by Cristina Love


anonymous
anonymous
sketch #334 DON 'T!


sketchmaster
sketch #2639 Marilyn by sketchmaster


anonymous
anonymous
sketch #2874 Mario by Ahmed Hosny


anonymous
anonymous
sketch #2023 For variety our own good friends fully understand states; through hard knocks we all our own good friends. priceminister


anonymous
anonymous
sketch #3736 Why so serious? by Taï Marsan


anonymous
anonymous
sketch #2536


anonymous
anonymous
sketch #1652


anonymous
anonymous
sketch #4987


anonymous
anonymous
sketch #4351


anonymous
anonymous
sketch #3656 Igor by Vincent Baudement


anonymous
anonymous
sketch #3157 umpa lumpa


anonymous
anonymous
sketch #5116 Bleach by Vrushali Rane


anonymous
anonymous
sketch #1477 123 viva l 'algerie


anonymous
anonymous
sketch #5297 Journey by Dmitry Sidorenko


Rachel Roe
sketch #2645 Flowers in window


anonymous
anonymous
sketch #5259


anonymous
anonymous
sketch #5225 The Friendship by Annabelle Bourget


anonymous
anonymous
sketch #264


anonymous
anonymous
sketch #4522 Adventure Time by KiNg Buamir


Donara Smbatyan
sketch #1447 donara


anonymous
anonymous
sketch #5280


Marlyn Ortiz
sketch #2029 GOD 'S PROMISE ...


anonymous
anonymous
sketch #5416


anonymous
anonymous
sketch #3508 Medusa by Nelly Panambo


anonymous
anonymous
sketch #4965


Mahmed Alhaj
sketch #3695


anonymous
anonymous
sketch #3466


anonymous
anonymous
sketch #3047 Oppa Pika Style by Itz Rakhi

tomskidbms映射约束 dbms srcmini coloring