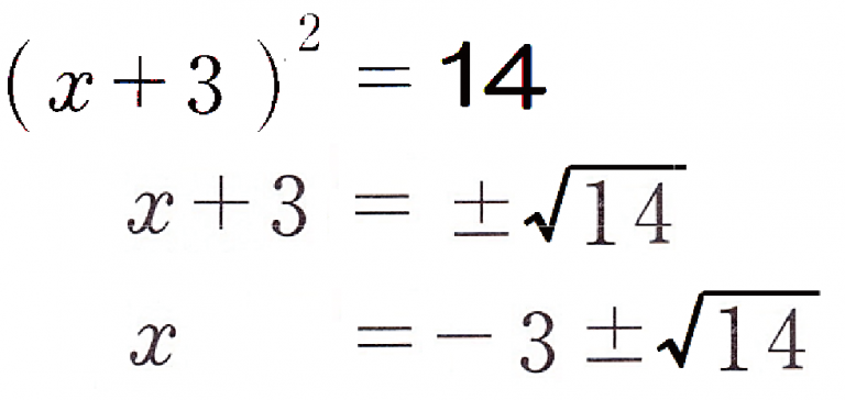
2次方程式の解き方 第2講 例題3 youtube Template




You need a modern browser try chrome, to view this.

Background image: Hide Show

View Larger Image Image Credit: youtube.com






Try and sketch some of theseTeepee, Monastery, Bride, Stethoscope, Sausages, Funeral, Rug, Matador, Lathe, Telescope, view more ideas


please wait, the page is loading...

More Sketches

Take a peek at some of the sketches created by our users, are you a sketchite?

anonymous
anonymous
sketch #2340


sketchmaster
sketch #2434 Metallica


anonymous
anonymous
sketch #1459 khvjkhu


anonymous
anonymous
sketch #2023 For variety our own good friends fully understand states; through hard knocks we all our own good friends. priceminister


anonymous
anonymous
sketch #5436


anonymous
anonymous
sketch #1260


anonymous
anonymous
sketch #5327


anonymous
anonymous
sketch #5215


anonymous
anonymous
sketch #4760


anonymous
anonymous
sketch #3042 Tobi by Mirnes Sinanovic


anonymous
anonymous
sketch #4511 Yao Ming by Betty Marie Melzer


anonymous
anonymous
sketch #4436 Bob Marley by Luiza Irma


anonymous
anonymous
sketch #4895 Cat by Gaurav Patel


anonymous
anonymous
sketch #288 RK


anonymous
anonymous
sketch #5223 Elsa from Frozen by Ben De Jesus


anonymous
anonymous
sketch #687 Buddha Peace


anonymous
anonymous
sketch #3197 Dragon by Yuryi Zambrano


anonymous
anonymous
sketch #1289 peace within


anonymous
anonymous
sketch #3127 Hulk George Lucaz


anonymous
anonymous
sketch #3036 Wiz Khalifa by Malyi Link


anonymous
anonymous
sketch #5050


anonymous
anonymous
sketch #3280 Adventure Time by Alina Danielle


anonymous
anonymous
sketch #3392


anonymous
anonymous
sketch #5173 Super Meat Boy by Zorka Edding Giustinianovic


anonymous
anonymous
sketch #704

tomski2次方程式の解き方 第2講 例題3 coloring