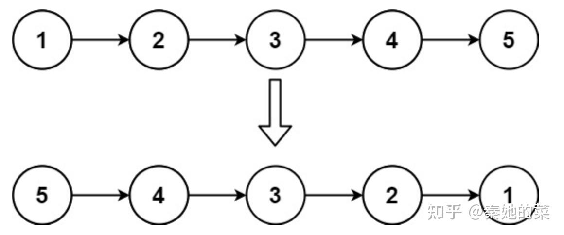
链表(leetcode) Template




You need a modern browser try chrome, to view this.

Background image: Hide Show

View Larger Image Image Credit: yorksunsdu.github.io






Try and sketch some of theseElk, Billionaire, Chariot, Tools, Sunburn, Bank robber, Pine, Door knob, Potato bug, Stagecoach, view more ideas


please wait, the page is loading...

More Sketches

Take a peek at some of the sketches created by our users, are you a sketchite?

Cristina Love
sketch #2788 Yuno Gasai from Mirai Nikki by Cristina Love


anonymous
anonymous
sketch #3321 Baby Mirella Flowers


anonymous
anonymous
sketch #1668 SUNSET


anonymous
anonymous
sketch #1950


Laura Agapi Asnicar
sketch #2976 A girl watches the moon


anonymous
anonymous
sketch #3390 Beautiful drawing by Jessie Lightwood


anonymous
anonymous
sketch #4558


anonymous
anonymous
sketch #3151 Spaceship Nessa Kira Hellsing


anonymous
anonymous
sketch #2989 Little Chibi by Loai Issa


anonymous
anonymous
sketch #3359 &#;In love and lonely&#; by Irul Ventura


anonymous
anonymous
sketch #4093 freefree


anonymous
anonymous
sketch #4546 Misaki Mei by Wanis Khelifa


anonymous
anonymous
sketch #3455 Enya by Georai Shahar


anonymous
anonymous
sketch #949 jbj


anonymous
anonymous
sketch #5361 Emma Watson by Glynis June Williams


anonymous
anonymous
sketch #5044


Pascal Quéru
sketch #2479 C 'est qui ? Un rasta qui a manger trop de poulpe farcis. ? Un vieux chanteur de blue grass ? Najdica tomktoo ? A vous de me dire...


anonymous
anonymous
sketch #5203 Alien vs. Predator Ani Chachua


anonymous
anonymous
sketch #312


anonymous
anonymous
sketch #5199 Catface by Noeli Racioppo


anonymous
anonymous
sketch #4191


Mirnes Sinanovic
sketch #2640 Marge by Mirnes Sinanovic


anonymous
anonymous
sketch #3258


anonymous
anonymous
sketch #4351


Tom Kelly
sketch #519 The Joker


anonymous
anonymous
sketch #3727 Stitch by Louis Tradieu


anonymous
anonymous
sketch #5090


anonymous
anonymous
sketch #1153 sahib

tomski链表(leetcode) coloring