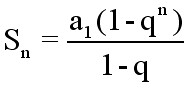
漸化式 無理やり等比数列を作る 数学b youtube Template




You need a modern browser try chrome, to view this.

Background image: Hide Show

View Larger Image Image Credit: youtube.com






Try and sketch some of theseFactory, Firefighter, Cliff, Golfer, Gizmo, Wagon wheel, Seaweed, Stethoscope, Chariot, Poet, view more ideas


please wait, the page is loading...

More Sketches

Take a peek at some of the sketches created by our users, are you a sketchite?

Renjith Raj
sketch #1614 uncle bun


Lucy Barnard
sketch #249 Rocket


anonymous
anonymous
sketch #1545


anonymous
anonymous
sketch #5277 League of Legends champions by Sylvie Rieux


anonymous
anonymous
sketch #1385 fingerschpitsengeful


anonymous
anonymous
sketch #3242 Jolteon by Välë Chäpärrö Järämïllö


anonymous
anonymous
sketch #3999 Deadmau by Speeð Üp Säm


Rachel Roe
sketch #33 Flutter-bys


anonymous
anonymous
sketch #3554 Dr. House by Carrieann Benthem


anonymous
anonymous
sketch #3488 cats


anonymous
anonymous
sketch #5174


anonymous
anonymous
sketch #2901 Smurf by Ronny Alexander Nikolaevich


Helyryn
sketch #293 jdjdjdjdj


anonymous
anonymous
sketch #3448 Treba mi bolji "mish " ;)


anonymous
anonymous
sketch #3513


anonymous
anonymous
sketch #5207 Gorilla by Jean-Benoit Renaud


anonymous
anonymous
sketch #5232 Avril by Teresa Temacha


anonymous
anonymous
sketch #4405 Cat by Nizamuddin Shuja


anonymous
anonymous
sketch #4429 Spongebob by Brenda Peña


sketchmaster
sketch #2627 Taz by sketchmaster


Helyryn
sketch #308


anonymous
anonymous
sketch #5079 SketchToy Pencil by Sarah Prieto


anonymous
anonymous
sketch #3226 Goth Face


anonymous
anonymous
sketch #1668 SUNSET


anonymous
anonymous
sketch #600


anonymous
anonymous
sketch #961


anonymous
anonymous
sketch #5312


anonymous
anonymous
sketch #5284


anonymous
anonymous
sketch #4901 Adventure Time by Louisette Alain

tomski漸化式 無理やり等比数列を作る 数学b coloring