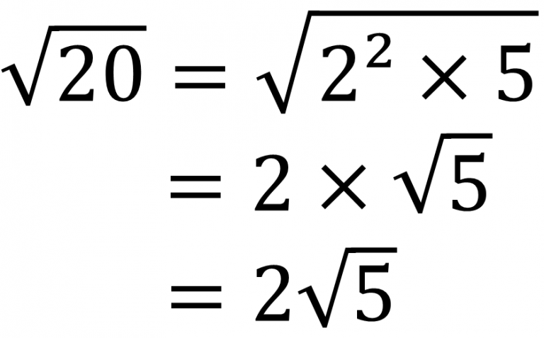
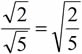
根号を含む式の計算 youtube Template




You need a modern browser try chrome, to view this.

Background image: Hide Show

View Larger Image Image Credit: youtube.com






Try and sketch some of theseJamboree, Columbine, Campfire, Horseshoe, Chimes, Bamboo, Sword, Shoehorn, Bride, Widget, view more ideas


please wait, the page is loading...

More Sketches

Take a peek at some of the sketches created by our users, are you a sketchite?

anonymous
anonymous
sketch #5216 D by Gabriela Segura


anonymous
anonymous
sketch #3871


anonymous
anonymous
sketch #5210 I love you by Saul Mansanares


anonymous
anonymous
sketch #5071 Rihanna by Johan Kennet Espinoza Moreno


anonymous
anonymous
sketch #2337


anonymous
anonymous
sketch #3383


Saifa Mahmud
sketch #1671


anonymous
anonymous
sketch #4704 Slash


anonymous
anonymous
sketch #5059 Edward Hopper&#;s &#;Nighthawks&#; by Rosanne Zammit


anonymous
anonymous
sketch #313 Uchiha Sasuke


anonymous
anonymous
sketch #4053


anonymous
anonymous
sketch #5092 Silvers Rayleigh by Wasim Khan


anonymous
anonymous
sketch #5287


anonymous
anonymous
sketch #839


Jocelyn Alejandra Rantul
sketch #2678 Portrait by Jocelyn Alejandra Rantul


anonymous
anonymous
sketch #2937 Spongebob by Kalana Namikaze


anonymous
anonymous
sketch #4313


Marlyn Ortiz
sketch #2029 GOD 'S PROMISE ...


anonymous
anonymous
sketch #68509


anonymous
anonymous
sketch #3165


Rachel Roe
sketch #673 Peachy mouse


anonymous
anonymous
sketch #4983


anonymous
anonymous
sketch #3499 Alien Laura Gutierrez Hinojosa


anonymous
anonymous
sketch #5258 Adventure Time by Kheith Ryan Lubiano


anonymous
anonymous
sketch #5262


anonymous
anonymous
sketch #3701 amazing Skull


anonymous
anonymous
sketch #3232

tomski根号を含む式の計算 youtube coloring