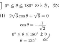
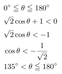
【Ⅰ�0°≦θ≦180°で θの値を求める youtube Template




You need a modern browser try chrome, to view this.

Background image: Hide Show

View Larger Image Image Credit: youtube.com






Try and sketch some of theseCrone, Sprouts, Skydiver, Potato bug, Pencil case, Easel, Mobile, Donut, Cat burglar, Worms, view more ideas


please wait, the page is loading...

More Sketches

Take a peek at some of the sketches created by our users, are you a sketchite?

sketchmaster
sketch #2446 Joker by sketchmaster


anonymous
anonymous
sketch #2035 Ernest Hemingway... chayrolfrypan


anonymous
anonymous
sketch #4595 Hell Boy by Cristina Love


anonymous
anonymous
sketch #5064


anonymous
anonymous
sketch #5157


Donara Smbatyan
sketch #1440 donara


sketchmaster
sketch #2624 Pikachu by sketchmaster


anonymous
anonymous
sketch #871 vampire girl anime


anonymous
anonymous
sketch #894 hmmm


anonymous
anonymous
sketch #3707 The Thinker


anonymous
anonymous
sketch #5270 Fresh prince by Fatér Szilvia


anonymous
anonymous
sketch #4916


anonymous
anonymous
sketch #5047 Pikachu and Raichu by Saiful Farizam


anonymous
anonymous
sketch #5167


anonymous
anonymous
sketch #5152


anonymous
anonymous
sketch #4769 Finn and Jake by Neo Ʀazor


anonymous
anonymous
sketch #1114 fire flame camping bonfire


anonymous
anonymous
sketch #1695


anonymous
anonymous
sketch #3680 Infected Mushroom by Rohit Rahul


anonymous
anonymous
sketch #5101


sketchmaster
sketch #2635 Zoidberg by sketchmaster


anonymous
anonymous
sketch #3372 Erza by Konstantin Kuznetsov


anonymous
anonymous
sketch #5068


anonymous
anonymous
sketch #3786


anonymous
anonymous
sketch #4710


anonymous
anonymous
sketch #4905 The Little Prince by Gaurav Patel


anonymous
anonymous
sketch #4976


Donara Smbatyan
sketch #1551 donara

tomski【Ⅰ�0°≦θ≦180°で θの値を求める youtube coloring